不可否认,常住人口的流向,能够反映很多问题,例如经济实力的分化、产业结构的升级。
过去我国人口流向总体是从西往东,而且主要流向长三角和珠三角地区,被称之为“孔雀东南飞”。从“常住人口”角度来看,“东进”和“南下”的态势仍然相对明显。例如2018年广东、浙江、安徽、重庆、四川,均呈现出了常住人口净流入的迹象。不可否认,常住人口的流向,能够反映很多问题,例如经济实力的分化、产业结构的升级。但除此之外,本文把视角进一步往下延伸,试图用各地彩票销售、居民收入结构和用电量变化等数据来探讨中低收入群体的流向状况。当然,常住人口与中低收入群体的统计口径存在明显差异。
孔雀往南飞?农民工演绎“孔雀西南飞”
一提到中低收入群体,首先的印象就是农民工。根据国家统计局每年发布的《农民工监测调查报告》,农民工的流向已经发生了巨大变化,农民工的增量部分主要流向中部和西部地区。例如2018年东部地区的农民工数量减少185万人,东北地区农民工数量减少9万,而中西部地区则增加378万,呈现“孔雀西南飞”的特征。
常住人口净流入数量(省级层面)
资料来源:WIND,各省市统计公报,中泰证券研究所
注:部分省份数据缺失
中部与西部农民工就业人数
资料来源:国家统计局,中泰证券研究所
由于农民工的数据是每年只公布一次,而且在划分成了东、中、西和东北四大区域,划分相对粗略,难以描绘更加细致的流向。因此,以下尝试利用彩票销售、用电量变化等间接数据来刻画。
彩票销售增速回落的主因是收入回落?
9月28日,财政部公布8月份彩票销售数据,并不令人意外,8月单月全国共销售彩票340.81亿元,较上年同期减少77.35亿元,同比下降18.5%。两类彩票同步下降,其中福利彩票销售146.1亿元,较去年同期减少31.78亿元,同比下降17.9%;体育彩票销售194.76亿元,较去年同期减少45.57亿元,同比下降19.0%。
8月彩票销售增速回落并不是个例,从2019年2月开始,彩票销售同比增速连续7个月同比负增长。导致彩票增速连续回落的因素可能有两个,一方面是短期的政策扰动,例如政府部门加大打击违规销售互联网彩票的力度;严禁开展即开型彩票规模销售等措施。另一方面,或许与低收入群体收入水平进一步回落相关。
但值得注意的是,如果把澳门博彩毛收入与彩票销售增速进行比较,则会发现比较有意思的现象。如果说前往澳门参加博彩的人群可能集中在中高收入阶层的话,大陆地区购买彩票的主要群体或许集中在中低收入阶层上。
从历史上看,澳门博彩增速的拐点往往要提前于大陆彩票销售增速,这反映了在经济回落或复苏的节点上,高收入群体往往要较中低收入群体更加敏感。但从2019年以来彩票销售增速的“断崖式”回落,则与前期的走势出现了明显差异,这反映了本轮彩票增速回落的主要因素是政策扰动,而非中低收入群体收入增速的回落。
澳门博彩收入增速拐点领先大陆彩票销售增速拐点
资料来源:WIND,中泰证券研究所
当然,中低收入群体收入增速的回落,尽管并非主要因素,但也在一定程度上压制了彩票销售增速。国内已有相关实证研究,表明中低收入群体是购买彩票的主要人群,彩票支出与收入的关系呈“倒U型”。
例如,有学者对超过800名福利彩票购买者进行调查发现,福彩消费者的收入结构呈现明显的两头小、中间大的状态,符合“倒U形”特征,其中月收入在1001-1500元区间的彩民比重最大,达到33.6%,排在第二的是月收入在801-1000元区间的彩民,所占比例为21%,月收入在501-800元区间的彩民所占比例为12%,以上三种中低收入者所占比例达到了67.2%。
而低收入群体购买力有限,对于彩票的投入较少;高收入群体生活富裕,对于参与彩票活动的积极性明显偏弱。根据国家统计局公布的五档收入群体的收入增速,可以很清晰的发现,2018年中低收入群体的增速只有4%,明显低于全国平均水平,且逐年走低,这必然会对彩票销售增速形成一定的压制。
中低收入群体收入同比增速连续走低
资料来源:WIND,中泰证券研究所
四川彩票销售异常高增:第一轮筛选
尽管彩票销售的全国数据出现了明显负增长,但如果往下一层,或许能得到有意思的结论。8月份,全国只有四川省彩票销量出现增长,同比增加0.76亿元,1-8月累计,同比增加12.17亿元。四川彩票销售增速与全国数据形成明显反差,如2019年前5个月,在全国数据明显下降的同时,四川单月增速保持在20%左右的高增速,尽管6月、7月出现了同比负增长,但8月又恢复了正增长,同比增长5.2%。
变化较为异常的,并不仅仅是四川一个省。按照基本的逻辑,由于中低收入群体是购买彩票的主流人群,当全体居民人均收入越高,并且对中低收入群体的分配越倾斜时,会对彩票销售增速形成越大的带动作用。而当二者出现明显异常时,则可以从人口结构或分配结构中寻找原因:
(1)当全体居民人均收入增速走高,但彩票销售增速走低,两种可能,一是中低收入群体的数量在减少,二是收入向中低收入群体倾斜的力度降低,但总而言之,是中低收入群体的获得减少。
(2)当全体居民人均收入增速走低,但彩票销售增速走高,两种可能,一是中低收入群体的数量在增加,二是收入向中低收入群体的倾斜力度加大,但总而言之,是中低收入群体的获得增加。
首先通过使用彩票销售相对增速与人均收入相对增速两个指标,筛选出各省市区的异常变化,其中:
彩票销售相对增速-8月省(市、区)彩票销售累计同比增速
- 全国彩票销售累计同比增速
人均收入相对增速年省(市、区)全体居民人均可支配收入同比增速
- 2018年全体居民人均可支配收入同比增速
“彩票销售相对增速”用来反映,在全国平均水平下,各个省市区彩票销售的异常变化;“人均收入相对增速”用来反映,在全国平均水平下,各个省市区收入增速的异常变化。
收入相对增速与彩票销售相对增速的比较
资料来源:WIND,中泰证券研究所
注:由于甘肃、黑龙江、吉林、山西四省2018年全体居民人均可支配收入较往年出现了大幅度跃升,暂时不予以考虑
根据上图可以观察到以下特征:
(1)13个省市区在正常范围内,彩票销售相对增速和人均收入相对增速两项指标均保持在合理范围内。包括福建、广东、河北、湖北、江苏、内蒙古、宁夏、青海、山东、陕西、新疆、浙江、重庆,另外,由于西藏情况比较特殊,也暂时不予考虑。
(2)传统人口流出大省之间出现反差,四川、河南、安徽、云南四省与江西、湖南之间的反差。四川、河南、安徽、云南三省,在人均收入相对增速为正(收入增速高于全国平均水平)的背景下,彩票销售增速大幅度超过全国平均水平。而江西、湖南两省,尽管收入相对增速较高,但彩票销售相对增速低于全国平均水平。
(3)直辖市之间的反差,体现在北京、上海与天津上。对于北京与上海,是人口结构的因素还是分配结构的因素,下文结合用电量再进行分析。问题较为明显的是天津,两项相对增速同步负增长。
(4)临近省份的广西与贵州出现反差。贵州尽管收入相对增速为正,但彩票销售相对增速不明显,这反映了贵州的产业结构或许对中低收入群体的吸引力存在一定的问题。广西,两项相对增速同步负增长。
(5)海南的特殊性。尽管人均收入相对增速为正,但彩票销售增速却大幅负增,这或许表明中低收入群体受到较为明显的影响。
主导因素是人口结构还是分配结构:第二轮筛选
使用两项相对增速指标,只能进行第一步筛选,把2019年前8个月表现较为异常的12个省市提取出来。在表现异常的省市中,尝试进一步叠加用电量的数据,来观察相关省市的表现。可以在一定程度上,将用电量视作反映经济活跃程度的指标,而经济活跃程度对劳动力数量是直接影响,传导至收入分配是间接影响,从而大致反映人口结构因素。由于数据可得性的原因,缺少各省市居民生活用电的数据。
大陆地区各省市用电量同比增速区域图(2019年8月)
资料来源:WIND,中泰证券研究所
这里假设:经济活跃程度对劳动力数量是直接传导,对收入分配是间接传导。从经济活跃程度向劳动力数量的传导,逻辑尚待进一步严密。
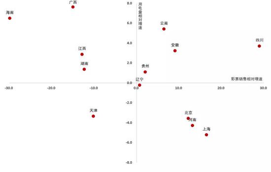
用电量相对增速与彩票销售相对增速
资料来源:WIND,中泰证券研究所
结论
(1)中低收入群体或许正在向西南方向回流。包括四川、云南、安徽、广西、江西、湖南、海南等省,用电量相对增速较高,反映了较为明显的经济活跃程度,这对中低收入群体具有较强的吸引力。但在西南中国,各省对中低收入群体的倾斜力度出现了差异。
(2)四川、云南、安徽三省。彩票销售相对增速较高,反映了中低收入群体的获得增加。而用电量相对增速较高,反映了经济活跃程度要高于全国平均水平,这反映了中低收入群体获得的增加,是由于中低收入群体数量的增加。
这与常住人口的表现倒是极为吻合,特别是安徽,作为中部省份,一直是农民工的输出大省,但2018年人口净流入规模在全国排名第三,这确实有点匪夷所思。除了北部的宿州、蚌埠和淮南三市以外,2018年安徽其余13市都出现人口净流入,其中省会城市合肥流入规模最大。
安徽常住人口的净流入,与中低收入群体具有密切的关系,在安徽经济增速高于全国平均水平,部分制造业向安徽转移的背景下,也中低收入群体更多的就业机会。
2018年安徽省各市人口流入流出分布
来源:各地统计公报,中泰证券研究所
注:红色代表人口流入,蓝色代表人口流出,颜色深浅表示相对幅度。
(3)广西、江西、湖南、海南。用电量相对增速较高,表明经济活跃程度要高于全国平均水平,中低收入群体的数量可能出现了增加。彩票销售相对增速较低,表明了中低收入群体的获得减少。反映了分配结构向中高端倾斜,这种非均衡的发展模式,在区域经济发展的初级阶段,较为有利于产业发展。
(4)北京、上海与河南、贵州。彩票销售相对增速较高,反映了中低收入群体的获得增加。但用电量相对增速并没有跟上,说明经济活跃程度要低于全国平均水平,这反映了中低收入群体获得的增加,并非是人口结构的原因。更多是分配结构的原因,中低收入群体数量并未增加,但分配结构确实在向中低收入群体进行倾斜,在整体大盘子中的分配占比得到增加。
(5)天津。彩票销售相对增速较低,表明了中低收入群体的获得减少。而用电量相对增速偏弱,反映了经济活力也较弱,或许由于中低收入群体的流出,同步显现为中低收入群体所占分配比例的下降。
从常住人口数据,也会发现,即使是北京流出的人口,也没有去天津,天津的人口吸引力从2014年就开始明显走弱。特别是2017年,天津人口首次出现净流出,幅度高达9万多人,当年GDP增速也跌至3.6%。尽管2018年天津经济增速有所企稳,但GDP增速排名仍是全国最低,人口虽略有回流,但净流入量也不到1万人,往日辉煌已然不在。
近年来北京和天津人口净流入状况(万人)
来源:各地统计公报,中泰证券研究所
(文/新浪财经意见领袖专栏作家 李迅雷 杨畅;作者:中泰证券首席经济学家。)